こんにちは。Horyです。
前回の記事ではDNAやRNAを構成する塩基であるアデニン・グアニン・シトシン・チミン・ウラシルの5種類の塩基の構造を解説しました。
構造にプリン塩基とピリミジン塩基があって・・・
- プリン塩基・・・アデニンとグアニン
- ピリミジン塩基・・・シトシン,チミン,ウラシル
と言うことを学習したと思います。
今回の記事ではDNAとRNA、ヌクレオシドとヌクレオチドの違いを解説しようと思います。
どちらも名前が似ていて混乱する人が多いかもしれませんが、そこら辺をしっかりまとめようと思います。
今回も頑張りましょう。
塩基配列について
DNAやRNAの塩基配列に関して簡単に解説します。
基本的に特定のプリン塩基とピリミジン塩基がペアになって配列します。
- DNAの塩基配列
- アデニン(A)とチミン(T)
- グアニン(G)とシトシン(C)
- RNAの塩基配列
- アデニン(A)とウラシル(U)
- グアニン(G)とシトシン(C)
- RNAはチミンがウラシルに
具体的にどのように配列されているかを図で示します。

矢印の部分は水素結合です。
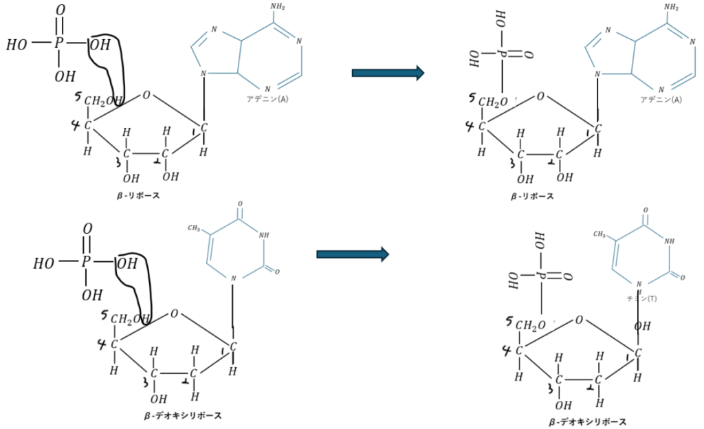
ヌクレオシドとヌクレオチド
ヌクレオシドとヌクレオチドの違いをまとめます。
名前が似ていますが物質としては違うのできちんと頭にいれましょう。
- ヌクレオシド
- プリン塩基の9位のHとβ-リボース
- プリン塩基の9位のHとβ-デオキシリボース
- ピリミジン塩基の3位のHとβ-リボース
- ピリミジン塩基の3位のHとβ-デオキシリボース
- 上の4つの組合わせで縮合して合体する
- ヌクレオチド
- ヌクレオシドの糖由来のOHとリン酸が縮合して出来る
ヌクレオシドの例をいくつか示します。

ヌクレオチドの例をいくつか示します。

- アデニンとβ-リボースの縮合→アデノシン
- アデノシンにリン酸1個が縮合→アデノシン1リン酸
上のことは知識として覚えといた方が良いです。
多数のヌクレオチドが縮合すると高分子になります。
これをポリヌクレオチドと言いますが、我々はこの高分子を核酸と呼んでいます。
DNAとRNAの構造
- DNAについて
- 複数のβ-デオキシリボース
- リン酸を仲介役として3位と5位で結合する
- 多数の結合によりDNAが出来る

図では簡単のために全ての塩基がシトシンになっていますが、実際は、塩基部分がアデニン、グアニン、シトシン、チミンのやつが複雑に配列しています。
DNAは二重らせん構造という構造を持っています。
この構造を発見した人はワトソンとクリックですが、彼らはこの功績でノーベル賞を受賞しています。
- RNAについて
- DNAのβ-デオキシリボースがβリボースに代わった
- DNAのデオキシリボースの2位がOHに代わった

傾いていて変な感じになっていますが、ご容赦ください。
図では塩基部がアデニンのみになっていますが、実際は(以下略)・・・
DNAの複製と転写
DNAの複製と転写についてデス。
知識問題としてよく出ます。複製は簡単かもしれませんが、転写はちょっと厄介です。
- DNAの複製
- DNAの塩基配列をそのまま複製 (同じモノをもう一個作る)
- アデニンとチミン
- グアニンとシトシン
- DNAの転写
- 塩基配列でタンパク質合成のための部分を転写する
- 何に転写するの?・・・m-RNA (メッセンジャー)
- この過程でDNAのチミンがウラシルに変化
- m-RNAで読み取った配列を3個ずつ読み取る
- 3つ一組・・・コドン
- 読み取った情報を配列する
- どこに配列するの?・・・t-RNA (トランスファー)
- その後どうなるの?・・・アミノ酸が完成する⇒タンパク質の1次構造の決定
- 塩基配列でタンパク質合成のための部分を転写する


コメント