こんにちは。Horyです。
前回の記事では波動の反射に関して自由端反射と固定端反射の2つの反射について解説したと共に、反射波と合成波に関して式を立式して解説しました。
今回の記事では波動の透過と境界条件に関して解説します。
今回も頑張りましょう。
波動の透過
波動の透過に関して現象を解説します。
波動の反射も透過も波動が「空気と水」や「空気と壁(固体)」のように材料が異なる媒質の境界に差し掛かると起こることで・・・
- 波動の反射・・・媒質の境界で波動が跳ね返る現象
- 波動の透過・・・媒質の境界で波動がすり抜ける現象
今回は波動の透過について式を立式しながら解説します。
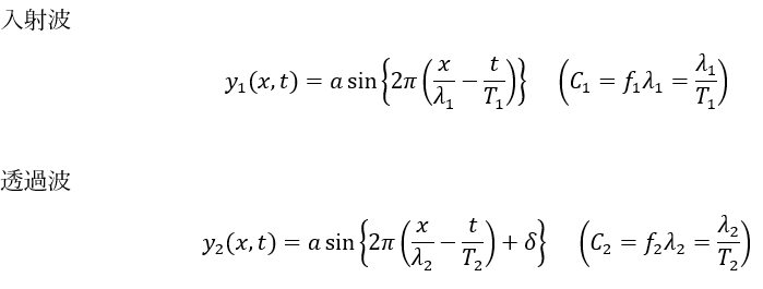
媒質が異なるので入射波と透過波の波長は当然異なります。そのため、位相速度も当然異なります。

ここで、大事になってくるのが境界条件になります。
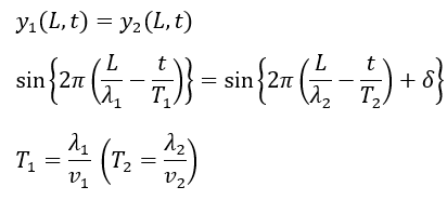
媒質の境界では任意の時間で必ず位相が一致していないとおかしいです。
(もし一致していなければ、波源が2つあってそこから別々の波動が出ていると言うことになって透過しているとは言えません)
そのため、以下の式が必ず成立します。

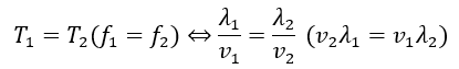
ちょっと強引かもしれませんが、上の式が成立するためには少なくとも周期(振動数)が一致していないと成立しません(これをちゃんと証明しようとすると電磁気のマクスウェル方程式をやらないといけない。いずれやります。)
そのため・・・

以上が波の透過に関して覚えておくべき関係式です。


コメント