こんにちは。Horyです。
これまでの記事では六炭糖の構造に関してまとめました。
今回の記事では高校化学で出てくる五炭糖に関して解説します。五炭糖とは炭素の数が5個の糖のことです。
五炭糖で有名なのは基本的に2つあって以下に示す糖を紹介します。
- リボース
- デオキシリボース
「生物じゃね?」って思うかもしれませんが、化学には「生体化学」という分野もあって出る場合は出ます(阪大とかでは出たことがある)。
今回も頑張りましょう。
リボースの構造
まずは、リボースに関する知識について紹介します。
- リボースの知識
- 塩基と結合しヌクレオシドを形成する
- アデニン(A)、グアニン(G)、シトシン(C)、チミン(T)でリボ核酸(RNA)を作る
上に関する詳しいことは生体化学の記事で書きます。
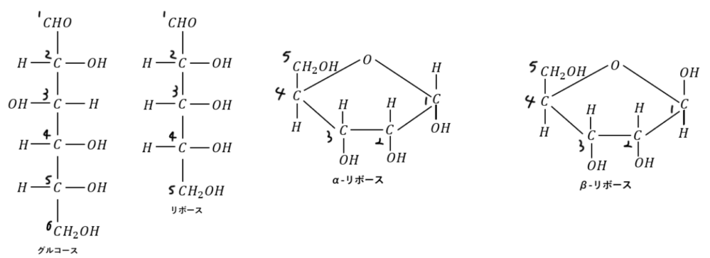
鎖状構造をフィッシャー投影法で示し、グルコースとの違いを図示します。

- リボースはグルコースの3位の部分がそのまま抜ける
- フィッシャーで2、3位の全てのOHは右側 (環になると下向き)
デオキシリボースの構造
デオキシリボースとはリボースをデオキシ化したものです。
デオキシ化とはヒドロキシ基(OH)を水素(H)に置き換えることを言います。
と言うことは、リボースのHは4つあるので、「デオキシリボースも4つあるのか」と思いまずが、間違っていないです。
ただし、デオキシリボ核酸となるのは2位のヒドロキシ基を水素化したものであることを覚えといてください。
- デオキシリボ核酸・・・核酸塩基とヌクレオシドを形成する糖
以下には2位のOHをHに置換したフィッシャー投影図を描きます。

まとめ
今回の記事で単糖に関しては最後になります。
単糖の構造が書けないと言う人は、まず、グルコースの構造を覚えてください。
というのも、全ての単糖はグルコースの構造を少し変えただけだからです。
だから、糖の分野が苦手だという人は基本的にグルコースの構造が頭に入っていません。
でも、それは裏を返せば、グルコースの構造さえ頭に入っていれば全ての単糖の構造は頭に入ってしまったも同然です(もちろん、細かい違いは、覚える必要はありますが・・・)。


コメント