こんにちは。Horyです。
今回の記事では二つの2次方程式が整数解を持つ条件を求める問題を解説します。
今回も頑張りましょう。
二つの2次方程式と整数解
以下に示すのはこの記事で取り組む問題になります。

この問題を例に解説します。
補足;u=vのとき (方程式と見る)
問題を解く前の下準備から始めます。
いきなり、u>vで始めてもやりにくいので、問題にはないですが「u=v」の時を考えてみます。

整数の定石である「約数×約数」形か?と思うかもしれませんが違います。
これは、uについて解くことで分数式が出てきます。
何らかの文字について解いて、何らかの文字の条件から絞り込みます(今回ならuという文字は0より大きい整数)。
- 何らかの文字の条件
- 分数が出てきて整数
- ルートが出てきて整数 (ルート内が0以上)

以上からuは0より大きい整数なのでu=4になります。
補足;u=vのとき (解と係数の関係)
解と係数の関係から解くのもありです。
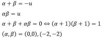
2次方程式の2解をそれぞれα,βと置きます。

以上からu=4と出ます。
これは整数の定石である(約数)×(約数)の形に帰着できる方法です。
本題;u>vのとき
本題のu>vの時です。非常に難しいです。

この不等式を無理やり登場させます。
ところで、「u>v」は「u-v>1」は「v-u<-1」という見方もできます。
(u-v>0かもだが、今回はuもvも0より大きい異なる整数だから、、、)
どっちの不等式を使うねん!と思うかもしれません。これが悩みどころだと思います。
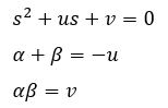
ところで、2次方程式の解と係数の関係を考えてみましょう。

α,βのうち、一方が整数であればuもvも整数なので他方も必ず整数になります。
以上から2次方程式は2解が共に整数と見ていいです。
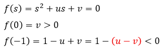
数値代入で不等式を登場させてみます。

以上のことから関数の0との大小関係によりこの2次方程式はー1~0の範囲に整数解を持ちます。
0の時は0より大なので、―1が整数解になります。

ここで、もう1つの2次方程式を登場させます。

求めたαとβを代入してみると・・・

以上から(u,v)=(6,5)であると言えます。
ちなみに、u>v ⇔ v-u<0であればtの2次方程式に-1を代入します。


コメント