こんにちは。Horyです。
ふと思い出したことがあって、これまでに三角比や三角関数の記事を書いてきました。
この中で外接円に関する話はしたかもしれませんが内接円に関する話はしていないと思います。
今回の記事では内接円の半径から三角形の面積が出る原理と応用問題として2円が内接する問題を解説しようと思います。
今回も頑張りましょう。
円の内接による面積
三角形に円が内接することがどうやって面積が求められるかを原理から解説します。
以下の図をご覧ください。

- 点I・・・内接円の中心
- r・・・内接円の半径の長さ
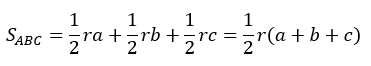
ここで、三角形ABCの面積は・・・
△ABC=△IBA+△IBC+△ICA
となります。右辺の3つの三角形の高さは内接円の半径なので・・・

以上で面積を求めることができました。
意外と簡単です。
三角形に2円が内接する
以下に示す三角形に関して考察していきましょう。
2円が内接するとします。

この問題を解いていきましょう。
ちなみに、、、
- 半径r1の円・・・△ABCの内接円
- 半径r2の円・・・△ABCの内接円ではない
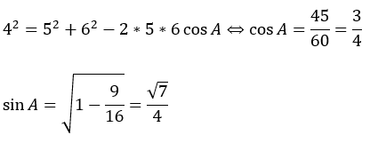
考察1 △ABCの内接円の半径 (余弦⇒内接円の公式)
余弦定理でcosを求めてsinを求めていきます。

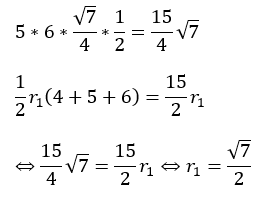
三角形の面積公式と内接円の公式から面積を導出します。

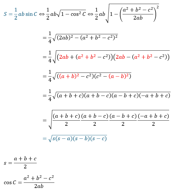
考察1 △ABCの内接円の半径 (ヘロンの公式)
聞いたことないかもしれませんがヘロンの公式というのがあります。
色々な方法を知っておいて損はないはずです。

青い部分を用いると・・・

このようにヘロンの公式から求めた面積を内接円の公式と合わせる方法もアリです。
考察2 もう1つの内接円の半径 (三角比)
もう1つの内接円の半径を求めてみましょう。
補助線を1つ引きます。

また、IからABに下ろした垂線の足をMと置きます。
そして、iおよびIは三角形の内心になります。
内心と頂点を結んだ直線は角を二等分するので・・・
三角形AIMを切り取ってみます。

- 平行線の性質から同位角は等しいです。
- 辺iIは中心間距離なので半径と半径の和です。

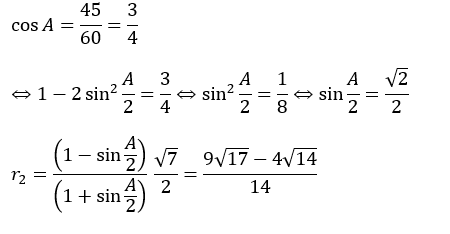
ここで、sin A/2を求める必要がありますがこれは求めれますよね。
cos Aから半角の公式を用いれば良いです。

非常に面白い問題ですね。


コメント