こんにちは。Horyです。
今回の記事からペプチドやタンパク質に関して話そうと思います。
この記事ではペプチドからアミノ酸をどうやって特定するかに関してまとめます。
今回も頑張りましょう。
ペプチドとは
まず、ペプチドに関してです。
アミノ酸の最初の記事でも解説したと思いますが、ペプチドとはアミノ酸が2つ以上ペプチド結合で縮合した化合物です。

上の図で紫色の点線で囲った部分がペプチド結合です。
- α-アミノ酸が2つ縮合・・・ジペプチド
- α-アミノ酸が3つ縮合・・・トリペプチド
- 多数のα-アミノ酸が縮合・・・ポリペプチド
これらのペプチドに対して細工をすることでどんなアミノ酸が縮合したかを特定します。
ペプチドからアミノ酸を特定
ペプチドからアミン酸を特定する方法は高校化学において4つ存在します。
- ビウレット反応
- キサントプロテイン反応
- ニンヒドリン反応
- 硫黄の検出
これら4つに関して個別に解説します。
ビウレット反応
ビウレット反応に関して以下に手順を紹介します。
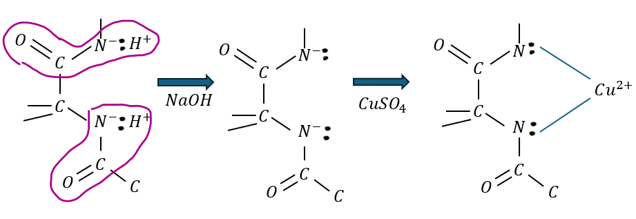
ビウレット反応とはペプチド結合を2つ以上持った化合物にNaOH水とCuSO4水を加えると赤紫色になるという現象が起きます。
ペプチド結合が2つ以上ならαアミノ酸は3個以上というわけです。
具体的にどのような反応が起きるかに関してですが、硫酸銅におけるCuの2価イオンが大きく関わっています。

図の紫色の実践で囲まれた部分がペプチド結合です。順を追って説明します。
- ペプチド結合が2つ以上の化合物
- NaOHのOHがNHの水素イオンを奪う (中和)
- Nイオンの非共有電子対にCuの2価の陽イオンがくっつく
- Cuイオンが挟まれることで赤紫色に呈色 (キレート化合物と呼ばれる)
ちなみに、キレートとはギリシャ語で「蟹のはさみ」を意味します。
銅イオンが蟹の挟みに取り込まれるわけですね。
キサントプロテイン反応
これはベンゼン環を持つアミノ酸を特定するための反応です。
ベンゼン環を持つαアミノ酸は全部で3つ存在しますが覚えていますでしょうか?
高校化学で覚えるアミノ酸についてはこちらに書きましたので見といてください。
キサントプロテイン反応とは、簡単に説明すると硝酸によるベンゼンのニトロ化です。

- ペプチドにベンゼンを持つアミノ酸
- 濃硝酸でベンゼンのニトロ化 (黄色に)
- アンモニア水により橙色に呈色する
ちなみに、キサントは黄色という意味で、プロテインはタンパク質という意味です。
ところで、私たちの体はタンパク質でできていて、そのたんぱく質の中にはベンゼンを持つアミノ酸も含まれています。
最近は大気汚染などにより酸性雨が空から降ってくることをご存じでしょうか?
私たちの体が雨に打たれて「キサントプロテイン反応で真っ黄っ黄」となるような未来にならないことを願っています。
ニンヒドリン反応
ニンヒドリン反応とは化合物がαアミノ酸のたんぱく質かどうかを調べる方法です。
以下に反応を図で示します。

硫黄の検出反応
硫黄(S)を持つαアミノ酸は二種類存在します。これも前回の記事を思い出してください。

- タンパク質にアルカリを投入
- SHがOHに置き換わってSHは分離
- SHのHがOHによって取られる
- Sイオンに酢酸鉛を加える
- 硫化鉛の沈殿により黒色になる
 
  
  
  
  